欢迎光临:莱耀标准品网!
 您的位置:对照品 > 对照品 > 对照药材 >
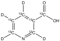
Nicotinic Acid-13C6,d4
产品基本信息
产品编号:N429251
产品名称:Nicotinic Acid-13C6,d4
产品CAS:1216798-74-1
规格含量:10mg
产品价格:面议
联系我们:
产品详细介绍
标准品编号: N429251
名称: Nicotinic Acid-13C6,d4
别名: 3-Pyridinecarboxylic Acid-13C6,d4; 3-Carboxylpyridine-13C6,d4 3-Carboxypyridine-13C6,d4; Akotin-13C6,d4; Apelagrin-13C6,d4; Niacin-13C6,d4; Niacor-13C6,d4; Niaspan-13C6,d4; Nicacid-13C6,d4; Pelonin-13C6,d4; Vitamin B3-13C6,d4; Vitamin B5-13C6,d4; Wampocap-13C6,d4; β-Pyridinecarboxylic Acid-13C6,d4
CAS号: 1216798-74-1
参考CAS号: 类似: 59-67-6
分子式: ¹³C₆HD₄NO₂
外观: Tan to 淡黄色固体
熔点: 192-198°C
分子量: 133.08
储存: 冰箱
溶解度: DMSO, Methanol, Water
种类: Building Blocks; Isotopic Labeled Analogues;
应用: Labelled Nicotinic acid. It is a precursor of the coenzymes NAD and NADP. Widely distributed in nature; appreciable amounts are found in liver , fish, yeast and cereal grains. Dietary deficiency is associated with pellagra. The term “niacin” has also been applied to nicotinamide or to other derivatives exhibiting the biological activity of nicotinic acid. Vitamin (enzyme cofactor).
参考文献


2011-2018 信阳莱耀生物科技有限公司 @ 信阳埃尔文生物科技有限公司版权所有

中检所标准品,对照品,标准气体
Keywords: 中检所标准品 对照品 标准气体