欢迎光临:莱耀标准品网!
 您的位置:对照品 > 对照品 > 对照药材 >
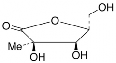
2-C-Methyl-D-ribono-1,4-lactone
产品基本信息
产品编号:M325961
产品名称:2-C-Methyl-D-ribono-1,4-lactone
产品CAS:492-30-8
规格含量:10g
产品价格:面议
联系我们:
产品详细介绍
标准品编号: M325961
名称: 2-C-Methyl-D-ribono-1,4-lactone
别名: 2-C-Methyl-D-ribonic Acid γ-Lactone; 2-C-Methyl-D-ribo-pentonic Acid γ-Lactone; NSC 19768; NSC 62382; α-D-Glucosaccharinic Acid γ-Lactone;
CAS号: 492-30-8
分子式: C₆H₁₀O₅
外观: 白色至白色固体
熔点: 150-160°C
分子量: 162.14
储存: -20°C Freezer
溶解度: DMSO (Slightly), Methanol (Slightly), Water (Slightly)
种类: Building Blocks; Carbohydrates and Oligosaccharides;
应用: Used in synthesis of enantiomerically pure 4-substituted riboses; also for preparing saccharinic acids and lactones via Amadori rearrangement for use as synthons toward herbicidal esters and branched nucleosides.
参考文献


2011-2018 信阳莱耀生物科技有限公司 @ 信阳埃尔文生物科技有限公司版权所有

中检所标准品,对照品,标准气体
Keywords: 中检所标准品 对照品 标准气体