您的位置:对照品 > 对照品 > 对照药材 >
产品基本信息
产品编号:M260157
产品名称:Methyclothiazide-13C6
产品CAS:
规格含量:10mg
产品价格:面议
联系我们:
产品详细介绍
标准品编号:
M260157
名称:
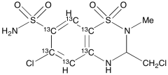
Methyclothiazide-13C6
别名:
6-Chloro-3-(chloromethyl)-3,4-dihydro-2-methyl-2H-1,2,4-benzo-13C6-thiadiazine-7-sulfonamide 1,1-Dioxide; 6-Chloro-3-chloromethyl-2-methyl-7-sulfamyl-3,4-dihydro-1,2,4-benzo-13C6-thiadiazine 1,1-Dioxide; 6-Chloro-3-chloromethyl-3,4-dihydro-2-methyl-7-sulfamoyl-2H-1,2,4-benzo-13C6-thiadiazine 1,1-Dioxide; Aquatensen-13C6; Ciba 7272-Su-13C6; Duretic-13C6; Enduron-13C6; Enduronum-13C6; Eutron-13C6; Methyclothiazid-13C6; Methyclothiazide-13C6; Methycyclothiazide-13C6; Methylcyclothiazide-13C6; NSC 110431-13C6; Naturon-13C6
参考CAS号:
类似: 135-07-9
分子式:
C₃¹³C₆H₁₁Cl₂N₃O₄S₂
分子量:
366.19
种类:
Building Blocks; Isotopic Labeled Analogues;
应用:
Methyclothiazide-13C6 is the labeled analogue of Methyclothiazide (M260155), which is derivative of Hydrochlorothiazide (H714560), which is a diuretic used in the hospital or for personal use to promote excess fluid associated with congestive heart failure. It is also used as an antihypertensive.
参考文献
Piala, J.J., et al.: J. Pharmacol. Exp. Ther., 134, 273 (1961); Deppeler, H.P., et al.: Anal. Profiles Drug Subs., 10, 405 (1981)