欢迎光临:莱耀标准品网!
 您的位置:对照品 > 对照品 > 对照药材 >
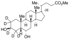
β-Hyodeoxycholic Acid-d5 Methyl Ester
产品基本信息
产品编号:H998117
产品名称:β-Hyodeoxycholic Acid-d5 Methyl Ester
产品CAS:
规格含量:10mg
产品价格:面议
联系我们:
产品详细介绍
标准品编号: H998117
名称: β-Hyodeoxycholic Acid-d5 Methyl Ester
别名: (3β,5β,6α)- 3,6-Dihydroxy-cholan-24-oic Acid Methyl Ester
参考CAS号: 116262-87-4 - unlabelled
分子式: C₂₅H₃₇D₅O₄
外观: Yellow Foamy Solid
分子量: 411.63
储存: 冰箱
种类: Standards; Steroids; Pharmaceutical/API Drug Impurities/Metabolites;
应用: Protected β-Hyodeoxycholic Acid (H998105), a potential bile acid metabolite.
参考文献


2011-2018 信阳莱耀生物科技有限公司 @ 信阳埃尔文生物科技有限公司版权所有

中检所标准品,对照品,标准气体
Keywords: 中检所标准品 对照品 标准气体