欢迎光临:莱耀标准品网!
 您的位置:对照品 > 对照品 > 对照药材 >
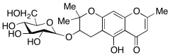
sec-O-Glucosylhamaudol
产品基本信息
产品编号:G596855
产品名称:sec-O-Glucosylhamaudol
产品CAS:80681-44-3
规格含量:100mg
产品价格:面议
联系我们:
产品详细介绍
标准品编号: G596855
名称: sec-O-Glucosylhamaudol
别名: (S)-3-(β-D-Glucopyranosyloxy)-3,4-dihydro-5-hydroxy-2,2,8-trimethyl-2H,6H-Benzo[1,2-b:5,4-b']dipyran-6-one;
CAS号: 80681-44-3
分子式: C₂₁H₂₆O₁₀
分子量: 438.43
种类: Building Blocks;
应用: sec-O-Glucosylhamaudol is a component compound in Saposhnikovia divaricata which promotes analgesic.
参考文献


2011-2018 信阳莱耀生物科技有限公司 @ 信阳埃尔文生物科技有限公司版权所有

中检所标准品,对照品,标准气体
Keywords: 中检所标准品 对照品 标准气体