欢迎光临:莱耀标准品网!
 您的位置:对照品 > 对照品 > 对照药材 >
3’’’,5’’’-Dideshydroxy-3&r
产品基本信息
产品编号:F335410
产品名称:3’’’,5’’’-Dideshydroxy-3&r
产品CAS:185248-68-4
规格含量:25mg
产品价格:面议
联系我们:
产品详细介绍
标准品编号: F335410
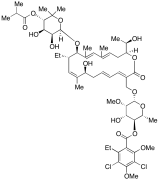
名称: 3’’’,5’’’-Dideshydroxy-3’’’,5’’’-dimethoxy Fidaxomicin
别名: (3E,5E,8S,9E,11S,12R,13E,15E,18S)-3-[[[6-Deoxy-4-O-(3,5-dichloro-2-ethyl-4,6-dimethoxybenzoyl)-2-O-methyl-β-D-mannopyranosyl]oxy]methyl]-12-[[6-deoxy-5-C-methyl-4-O-(2-methyl-1-oxopropyl)-β-D-lyxo-hexopyranosyl]oxy]-11-ethyl-8-hydroxy-18-[(1R)-1-hydroxyethyl]-9,13,15-trimethyl-oxacyclooctadeca-3,5,9,13,15-pentaen-2-one; 3''',5'''-Di-O-methyltiacumicin B
CAS号: 185248-68-4
分子式: C₅₄H₇₈Cl₂O₁₈
外观: 白色至白色固体
熔点: 130 - 134°C
分子量: 1086.09
储存: -20°C Freezer, Under inert atmosphere
溶解度: Methanol (Slightly)
种类: Research Tools; Chiral Molecules; Enzyme Activators and Inhibitors; Pharmaceutical/API Drug Impurities/Metabolites;
应用: 3’’’,5’’’-Dideshydroxy-3’’’,5’’’-dimethoxy Fidaxomicin is a derivative of Fidaxomicin (F335400), a nonabsorbed macrocyclic antibiotic, and is also the first antimicrobial to be approved by the FDA for the treatment of Clostridium difficile infection (CDI) in 20 years.
参考文献


2011-2018 信阳莱耀生物科技有限公司 @ 信阳埃尔文生物科技有限公司版权所有

中检所标准品,对照品,标准气体
Keywords: 中检所标准品 对照品 标准气体