欢迎光临:莱耀标准品网!
 您的位置:对照品 > 对照品 > 对照药材 >
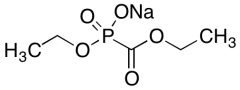
Ethyl Ethoxy(hydroxy)phosphinecarboxylate Oxide Sodium Salt
产品基本信息
产品编号:E917893
产品名称:Ethyl Ethoxy(hydroxy)phosphinecarboxylate Oxide Sodium Salt
产品CAS:72304-94-0
规格含量:250mg
产品价格:面议
联系我们:
产品详细介绍
标准品编号: E917893
名称: Ethyl Ethoxy(hydroxy)phosphinecarboxylate Oxide Sodium Salt
别名: Ethoxyhydroxyphosphinecarboxylic Acid Ethyl Ester Oxide Sodium Salt;
CAS号: 72304-94-0
参考CAS: Free Acid: 72305-10-3
分子式: C₅H₁₀NaO₅P
分子量: 204.09
种类: Standards; Pharmaceutical/API Drug Impurities/Metabolites; Anti-virals/Anti-retrovirals;
应用: Ethyl Ethoxy(hydroxy)phosphinecarboxylate Oxide Sodium Salt is a derivative of phosphonoformic acid which displays anti-herpes activity.
参考文献


2011-2018 信阳莱耀生物科技有限公司 @ 信阳埃尔文生物科技有限公司版权所有

中检所标准品,对照品,标准气体
Keywords: 中检所标准品 对照品 标准气体