欢迎光临:莱耀标准品网!
 您的位置:对照品 > 对照品 > 对照药材 >
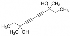
3,8-Dimethyl-4,6-decadiyne-3,8-diol
产品基本信息
产品编号:D482430
产品名称:3,8-Dimethyl-4,6-decadiyne-3,8-diol
产品CAS:6626-33-1
规格含量:1g
产品价格:面议
联系我们:
产品详细介绍
标准品编号: D482430
名称: 3,8-Dimethyl-4,6-decadiyne-3,8-diol
CAS号: 6626-33-1
分子式: C₁₂H₁₈O₂
分子量: 194.27
种类: Building Blocks; Miscellaneous;
应用: 3,8-Dimethyl-4,6-decadiyne-3,8-diol (cas# 6626-33-1) is a useful research chemical.
参考文献


2011-2018 信阳莱耀生物科技有限公司 @ 信阳埃尔文生物科技有限公司版权所有

中检所标准品,对照品,标准气体
Keywords: 中检所标准品 对照品 标准气体