您的位置:对照品 > 对照品 > 对照药材 > |
|
|
|
| 产品基本信息 |
|
| 产品编号:D460615 |
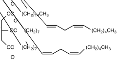
| 产品名称:1,2-Dilinoleoyl-3-palmitoyl-rac-glycerol |
| 产品CAS:2190-15-0 |
| 规格含量:25mg |
| 产品价格:面议 |
| 联系我们: |
|
|
|
|
|
| 产品详细介绍 |
| 标准品编号: |
D460615 |
| 名称: |
1,2-Dilinoleoyl-3-palmitoyl-rac-glycerol |
| 别名: |
PLL, Seasame Oil Related Compound B USP |
| CAS号: |
2190-15-0 |
| 参考CAS号: |
64550-34-1, 66964-28-1 |
| 分子式: |
C₅₅H₉₈O₆ |
| 外观: |
Clear Colourless Oil |
| 熔点: |
N/A |
| 分子量: |
855.36 |
| 储存: |
Amber Vial, -20˚C Freezer, Under Inert Atmosphere |
| 溶解性: |
Chloroform (Slightly), Ethyl Acetate (Slightly), Methanol (Slightly) |
| 种类: |
Standards; Lipids/Fatty Acids, Glycerol Derivatives; |
| 应用: |
1,2-Dilinoleoyl-3-palmitoyl-rac-glycerol is a triacylglycerol found in sesame oil. |
| 参考文献 |
|
|
|
|
|
|
|
|