欢迎光临:莱耀标准品网!
 您的位置:对照品 > 对照品 > 对照药材 >
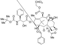
10-O-2,2-Dichloroethoxycarbonyl Docetaxel
产品基本信息
产品编号:D434415
产品名称:10-O-2,2-Dichloroethoxycarbonyl Docetaxel
产品CAS:158810-73-2
规格含量:25mg
产品价格:面议
联系我们:
产品详细介绍
标准品编号: D434415
名称: 10-O-2,2-Dichloroethoxycarbonyl Docetaxel
别名: (αR,βS)-β-[[(1,1-Dimethylethoxy)carbonyl]amino]-α-hydroxybenzenepropanoic Acid (2aR,4S,4aS,6R,9S,11S,12S,12aR,12bS)-12b-(Acetyloxy)-12-(benzoyloxy)-6-[[(2,2-dichloroethoxy)carbonyl]oxy]-2a,3,4,4a,5,6,9,10,11,12,12a,12b-dodecahydro-4,11-dihydroxy-4a,8,13,13-tetramethyl-5-oxo-7,11-methano-1H-cyclodeca[3,4]benz[1,2-b]oxet-9-yl Ester; [2aR-[2aα,4β,4aβ,6β,9α(αR,βS*),11α,12α,12aα,12bα]]-β-[[(1,1-Dimethylethoxy)carbonyl]amino]-α-hydroxybenzenepropanoic Acid 12b-(Acetyloxy)-12-(benzoyloxy)-6-[[(2,2-dichloroethoxy)carbonyl]oxy]-2a,3,4,4a,5,6,9,10,11,12,12a,12b-dodecahydro-4,11-dihydroxy-4a,8,13,13-tetramethyl-5-oxo-7,11-methano-1H-cyclodeca[3,4]benz[1,2-b]oxet-9-yl Ester; 7,11-Methano-1H-cyclodeca[3,4]benz[1,2-b]oxete Benzenepropanoic Acid Deriv.
CAS号: 158810-73-2
分子式: C₄₆H₅₅Cl₂NO₁₆
外观: 白色至白色固体
熔点: 145-150°C
分子量: 948.83
储存: Hygroscopic, -20°C Freezer, Under inert atmosphere
溶解性: Chloroform (Slightly), Methanol (Slightly)
稳定性: Hygroscopic
种类: Standards; Chiral Molecules; Pharmaceutical/API Drug Impurities/Metabolites;
应用: 10-O-2,2-Dichloroethoxycarbonyl Docetaxel is an impurity of Docetaxel (D494420); an antineoplastic and antimitotic agent that promotes the assembly of micro-tubules and inhibits their de-polymerization to free tubulin. Docetaxel Impurity 1.
参考文献


2011-2018 信阳莱耀生物科技有限公司 @ 信阳埃尔文生物科技有限公司版权所有

中检所标准品,对照品,标准气体
Keywords: 中检所标准品 对照品 标准气体