欢迎光临:莱耀标准品网!
 您的位置:对照品 > 对照品 > 对照药材 >
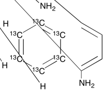
1,5-Diaminonaphthalene-13C6
产品基本信息
产品编号:D416416
产品名称:1,5-Diaminonaphthalene-13C6
产品CAS:
规格含量:25mg
产品价格:面议
联系我们:
产品详细介绍
标准品编号: D416416
名称: 1,5-Diaminonaphthalene-13C6
别名: 1,5-DAN-13C6; 1,5-Diaminonaphthalene-13C6; 1,5-Naphthylenediamine-13C6; NSC 401110-13C6
参考CAS号: 未标记:2243-62-1
分子式: C₄¹³C₆H₁₀N₂
分子量: 164.16
种类: Standards; Isotopic Labeled Analogues; Environmental Standards, Mutagens and Metabolites;
应用: 1,5-Diaminonaphthalene-13C6 is the labeled analogue of 1,5-Diaminonaphthalene (D416415), an aromatic amine likely to have high carcinogenic potency; QSARs of aromatic amines
危险品: Not a dangerous good if item is equal to or less than 1g/ml and there is less than 100g/ml in the package
参考文献


2011-2018 信阳莱耀生物科技有限公司 @ 信阳埃尔文生物科技有限公司版权所有

中检所标准品,对照品,标准气体
Keywords: 中检所标准品 对照品 标准气体