欢迎光临:莱耀标准品网!
 您的位置:对照品 > 对照品 > 对照药材 >
N-Desacetyl-2,3,4-tri-O-acetyl Thiocolchicoside-N-2,2,2-trifluoroacetaldehyde
产品基本信息
产品编号:D291008
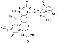
产品名称:N-Desacetyl-2,3,4-tri-O-acetyl Thiocolchicoside-N-2,2,2-trifluoroacetaldehyde
产品CAS:
规格含量:1mg
产品价格:面议
联系我们:
产品详细介绍
标准品编号: D291008
名称: N-Desacetyl-2,3,4-tri-O-acetyl Thiocolchicoside-N-2,2,2-trifluoroacetaldehyde
分子式: C₃₅H₃₈F₃NO₁₄S
分子量: 785.73
种类: Standards; Pharmaceutical/API Drug Impurities/Metabolites; Carbohydrates and Oligosaccharides;
应用: N-Desacetyl-2,3,4-tri-O-acetyl Thiocolchicoside-N-2,2,2-trifluoroacetaldehyde is an intermediate used in the synthesis of N-Desacetyl Thiocolchicoside (D291005), which is an impurity of Thiocolchicoside (T344385), a GABA receptor antagonist which is prescribed as a muscle relaxant having analgesic effects.
参考文献


2011-2018 信阳莱耀生物科技有限公司 @ 信阳埃尔文生物科技有限公司版权所有

中检所标准品,对照品,标准气体
Keywords: 中检所标准品 对照品 标准气体