您的位置:对照品 > 对照品 > 对照药材 >
产品基本信息
产品编号:D290870
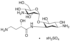
产品名称:6-O-Des(6-Amino-α-D-gluocopyranosyl) Amikacin Sulfate
产品CAS:
规格含量:0.5mg
产品价格:面议
联系我们:
产品详细介绍
标准品编号:
D290870
名称:
6-O-Des(6-Amino-α-D-gluocopyranosyl) Amikacin Sulfate
别名:
(S)-4-Amino-N-((1R,2S,3S,4R,5S)-5-amino-2-(((2R,3R,4S,5S,6R)-6-(aminomethyl)-3,4,5-trihydroxytetrahydro-2H-pyran-2-yl)oxy)-3,4-dihydroxycyclohexyl)-2-hydroxybutanamide Sulfate; 6-O-(3-Amino-3-deoxy-α-D-glucopyranosyl)-N1-[(2S)-4-amino-2-hydroxy-1-oxobutyl]-2-deoxy-D-Streptamine Sulfate
参考CAS号:
Free Base: 1793053-92-5
分子式:
C₁₆H₃₂N₄O₉•xH₂SO₄
外观:
白色至白色固体
分子量:
424.45
储存:
-20°C Freezer, Under inert atmosphere
溶解性:
Water (Slightly)
种类:
Standards; Pharmaceutical/API Drug Impurities/Metabolites; Antibotics;
应用:
6-O-Des(6-Amino-α-D-gluocopyranosyl) Amikacin Sulfate is a derivative of Amikacin (A578500), semisynthetic aminoglycoside antibiotic derived from Kanamycin A. Antibacterial.
参考文献
Cabana, T., et al.: Antimicrob. Agents Chemother., 3, 478 (1973), Cappelletti, L.M., et al.: J. Antibiot., 36, 328 (1983), Monteleone, P.M., et al.: Anal. Profiles Drug Subs., 12, 37 (1983),