欢迎光临:莱耀标准品网!
 您的位置:对照品 > 对照品 > 对照药材 >
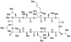
Cyclosporin AM 4N
产品基本信息
产品编号:C989410
产品名称:Cyclosporin AM 4N
产品CAS:89270-23-5
规格含量:2.5mg
产品价格:面议
联系我们:
产品详细介绍
标准品编号: C989410
名称: Cyclosporin AM 4N
别名: 9-L-Leucinecyclosporin A; 1,4,7,10,13,16,19,22,25,28,31-Undecaazacyclotritriacontane Cyclic Peptide Deriv.; AM 4N; Cyclosporin A Metabolite 21; M 21; OL 21; [Leu4]cyclosporin
CAS号: 89270-23-5
分子式: C₆₁H₁₀₉N₁₁O₁₂
外观: 白色至Pale Beige Solid
分子量: 1188.58
储存: 冰箱保存
溶解性: Chloroform (Slightly), Methanol (Slightly)
种类: Standards; Chiral Molecules; Pharmaceutical/API Drug Impurities/Metabolites;
应用: Cyclosporin AM 4N is a metabolite of Cyclosporin A (C988900), a hydrophobic cyclic undecapeptide that is used as a potent immunosuppressive agent that has application in human organ transplantation. Cyclosporin A works by inhibiting subsets of T lymphocytes to facilitate organ transplantation.
参考文献


2011-2018 信阳莱耀生物科技有限公司 @ 信阳埃尔文生物科技有限公司版权所有

中检所标准品,对照品,标准气体
Keywords: 中检所标准品 对照品 标准气体