您的位置:对照品 > 对照品 > Witega > |
|
|
|
| 产品基本信息 |
|
| 产品编号:C42H72O4 |
| 产品名称:拟人参皂苷F11(拟人参皂甙F11)对照品 |
| 产品CAS:69884-00-0 |
| 规格含量:20mg |
| 产品价格:700 |
| 联系我们: |
|
|
|
|
|
| 产品详细介绍 |
|
中文名称 |
拟人参皂苷F11对照品 |
中文别名 |
拟人参皂甙F11 |
|
英文名 |
Pseudoginsenoside F11 |
英文别名 |
补充中 |
|
分子式 |
|
C42H72O4 |
分子量 |
801.03 |
CAS登录号 |
69884-00-0 |
|
|
提取来源 |
|
五加科植物人参Panax ginseng C. A. Mey.的干燥根 |
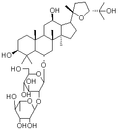
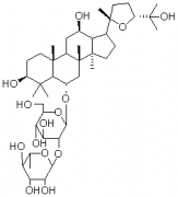
化学结构 |
|
|
外观 |
|
白色结晶粉末 |
 |
|
NMR; MS |
|
4℃冷藏、密封、避光 |
|
2年 |
|
无 |
|
|
鉴别方法 |
|
贮存条件 |
|
有效期 |
|
注意事项 |
|
溶解性 |
可溶于乙醇、甲醇等溶剂,不溶于石油醚、氯仿。 |
|
测定方法 |
采用高效液相色谱法, 以十八烷基硅烷键合硅胶为填料, 乙腈-水( 32:68)为流动相,检测波长为203 nm。 |
|
药典测定方法 |
补充中 |
|
用途 |
用于含量测定/鉴定/药理实验等 |
|
|
|
|
|