欢迎光临:莱耀标准品网!
 您的位置:对照品 > 对照品 > 工作对照品 >
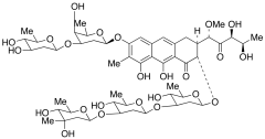
Mithramycin A
产品基本信息
产品编号:M369500
产品名称:Mithramycin A
产品CAS:18378-89-7
规格含量:5mg
产品价格:面议
联系我们:
产品详细介绍
标准品编号: M369500
名称: Mithramycin A
别名: [1S(2S,3S)]-5-Deoxy-1-C-[7-[[2,6-dideoxy-3-O-(2,6-dideoxy-β-D-arabino-hexopyranosyl)-β-D-arabino-hexopyranosyl]oxy]-3-[(O-2,6-dideoxy-3-C-methyl-β-D-ribo-hexopyranosyl-(1→3)-O-2,6-dideoxy-β-D-arabino-hexopyranosyl-(1→3)-2,6-dideoxy-β-D-lyxo-hexopyranosyl)oxy]-1,2,3,4-tetrahydro-5,10-dihydroxy-6-methyl-4-oxo-2-anthracenyl]-1-O-methyl-D-threo-2-pentulose; Mithramycin; A 2371; Antibiotic LA 7017; Aureolic Acid; Mithracin; Mitramycin; NSC 24559; PA 144; Plicamycin; Plicatomycin;
CAS号: 18378-89-7
分子式: C₅₂H₇₆O₂₄
外观: Yellow Solid
熔点: >173ºC (dec.)
分子量: 1085.15
储存: -20˚C Freezer, Under Inert Atmosphere
溶解度: DMSO (Slightly), Methanol (Slightly)
种类: Standards; Others; Pharmaceutical/API Drug Impurities/Metabolites; Antibotics; Carbohydrates and Oligosaccharides;
应用: Mithramycin A is an anticancer antibiotic that selectively binds to G-C-rich DNA in the presence of Mg2+ or Zn2+, inhibiting RNA and DNA polymerase action. Mithramycin A inhibits c-myc expression and induces myeloid differentiation of HL-60 promyelocytic leukemia cells.
参考文献


2011-2018 信阳莱耀生物科技有限公司 @ 信阳埃尔文生物科技有限公司版权所有

中检所标准品,对照品,标准气体
Keywords: 中检所标准品 对照品 标准气体