欢迎光临:莱耀标准品网!
 您的位置:对照品 > 对照品 > 工作对照品 >
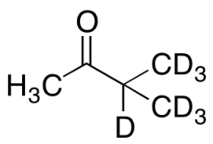
3-Methyl-2-butanone-d7
产品基本信息
产品编号:M294157
产品名称:3-Methyl-2-butanone-d7
产品CAS:
规格含量:1g
产品价格:面议
联系我们:
产品详细介绍
标准品编号: M294157
名称: 3-Methyl-2-butanone-d7
参考CAS号: 563-80-4
分子式: C₅H₃D₇O
外观: Clear Liquid
分子量: 93.18
溶解度: Acetone; Dichloromethane
种类: Building Blocks; Isotopic Labeled Analogues;
应用: 3-Methyl-2-butanone-d7 is a labelled analogue of 3-Methyl-2-butanone (M294155). It is a reagent used in the synthesis of bryostatin analogs used as a cancer chemotherapeutic. Also used in the preparation of esterase-labile protection groups for phosphodiesters.
参考文献


2011-2018 信阳莱耀生物科技有限公司 @ 信阳埃尔文生物科技有限公司版权所有

中检所标准品,对照品,标准气体
Keywords: 中检所标准品 对照品 标准气体