欢迎光临:莱耀标准品网!
 您的位置:对照品 > 对照品 > 工作对照品 >
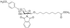
8-Methoxycarbonyloctyl-2-deoxy-2-phthalimido-4,6-O-(methoxybenzylidene)-β-D-gluco
产品基本信息
产品编号:M261600
产品名称:8-Methoxycarbonyloctyl-2-deoxy-2-phthalimido-4,6-O-(methoxybenzylidene)-β-D-gluco
产品CAS:359436-88-7
规格含量:25mg
产品价格:面议
联系我们:
产品详细介绍
标准品编号: M261600
名称: 8-Methoxycarbonyloctyl-2-deoxy-2-phthalimido-4,6-O-(methoxybenzylidene)-β-D-glucopyranoside
别名: 9-[[2-Deoxy-2-(1,3-dihydro-1,3-dioxo-2H-isoindol-2-yl)-4,6-O-[(4-methoxyphenyl)methylene]-β-D-glucopyranosyl]oxy]nonanoic Acid Methyl Ester;
CAS号: 359436-88-7
分子式: C₃₂H₃₉NO₁₀
分子量: 597.66
种类: Standards; Carbohydrates and Oligosaccharides;
应用: A synthetic antigen which may be linked to proteins.
参考文献


2011-2018 信阳莱耀生物科技有限公司 @ 信阳埃尔文生物科技有限公司版权所有

中检所标准品,对照品,标准气体
Keywords: 中检所标准品 对照品 标准气体