欢迎光临:莱耀标准品网!
 您的位置:对照品 > 对照品 > 工作对照品 >
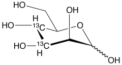
D-Mannose-3,4-13C2
产品基本信息
产品编号:M168011
产品名称:D-Mannose-3,4-13C2
产品CAS:
规格含量:10mg
产品价格:面议
联系我们:
产品详细介绍
标准品编号: M168011
名称: D-Mannose-3,4-13C2
参考CAS号: Unlabelled: 3458-28-4
分子式: ¹³C₂C₄H₁₂O₆
分子量: 182.14
种类: Building Blocks; Isotopic Labeled Analogues;
应用: D-Mannose is a carbohydrate that is important in the glycosylation of molecules in a variety of cellular processes. It is involved in N and O glycosylation of bovine why protein products, used in infant formulas. It is also responsible for the O-glycosylation of the T helper cell-derived cytokine interlukin-17A, an important cell-signaling molecule. This is the labeled analog.
参考文献


2011-2018 信阳莱耀生物科技有限公司 @ 信阳埃尔文生物科技有限公司版权所有

中检所标准品,对照品,标准气体
Keywords: 中检所标准品 对照品 标准气体