欢迎光临:莱耀标准品网!
 您的位置:对照品 > 对照品 > 工作对照品 >
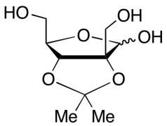
2,3-O-Isopropylidene-3-hydroxymethyl-D-ribose
产品基本信息
产品编号:I825460
产品名称:2,3-O-Isopropylidene-3-hydroxymethyl-D-ribose
产品CAS:
规格含量:1g
产品价格:面议
联系我们:
产品详细介绍
标准品编号: I825460
名称: 2,3-O-Isopropylidene-3-hydroxymethyl-D-ribose
别名: (4-Hydroxy-2,2-dimethyltetrahydrofuro[3,4-d][1,3]dioxole-3a,6-diyl)dimethanol
分子式: C₉H₁₆O₆
外观: colourless liquid
分子量: 220.22
溶解度: Ethyl Acetate, DCM, Chloroform
种类: Building Blocks; Carbohydrates and Oligosaccharides;
应用: 2,3-O-Isopropylidene-3-hydroxymethyl-D-ribose is an intermediate formed in the synthesis of L-Apiose (A726655), the synthetic isomer of D-Apiose (A726650) a naturally occurring branched-chain sugar in parsley and other plant species.
参考文献


2011-2018 信阳莱耀生物科技有限公司 @ 信阳埃尔文生物科技有限公司版权所有

中检所标准品,对照品,标准气体
Keywords: 中检所标准品 对照品 标准气体