欢迎光临:莱耀标准品网!
 您的位置:对照品 > 对照品 > 工作对照品 >
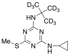
Irgarol-d9
产品基本信息
产品编号:I764102
产品名称:Irgarol-d9
产品CAS:
规格含量:25mg
产品价格:面议
联系我们:
产品详细介绍
标准品编号: I764102
名称: Irgarol-d9
别名: N-Cyclopropyl-N’-(1,1-dimethylethyl-d9)-6-(methylthio)-1,3,5-triazine-2,4-diamine; 2-(tert-Butylamino-d9)-4-(cyclopropylamino)-6-(methylthio)-s-triazine; 2-(Methylthio)-4-(tert-butylamino-d9)-6-(cyclopropylamino)-s-triazine; Cybutrin-d9; Cybutryne-d9; Irgaguard A 2000-d9; Irgaguard D 1071-d9; Irgarol 1051-d9; Irgarol 1071-d9; Microban Additive IA 1-d9; Nuocide 1051-d9;
参考CAS号: 类似: 28159-98-0
分子式: C₁₁H₁₀D₉N₅S
外观: 白色固体
熔点: 124-1260C
分子量: 262.42
储存: -20°C Freezer
溶解度: Acetonitrile (Slightly), Chloroform (Slightly)
种类: Standards; Isotopic Labeled Analogues; Enzyme Activators and Inhibitors;
应用: Labelled Irgarol (I764100). Irgarol is a highly specific and effective inhibitor of photosynthesis. This makes it ideal, combined with its very low water solubility, for use in long-life antifouling coatings for marine applications to prevent the growth of algae.
危险品: Not a dangerous good if item is equal to or less than 1g/ml and there is less than 100g/ml in the package
参考文献


2011-2018 信阳莱耀生物科技有限公司 @ 信阳埃尔文生物科技有限公司版权所有

中检所标准品,对照品,标准气体
Keywords: 中检所标准品 对照品 标准气体