欢迎光临:莱耀标准品网!
 您的位置:对照品 > 对照品 > 工作对照品 >
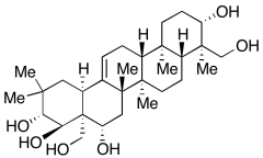
Gymnemagenin
产品基本信息
产品编号:G931800
产品名称:Gymnemagenin
产品CAS:22467-07-8
规格含量:10mg
产品价格:面议
联系我们:
产品详细介绍
标准品编号: G931800
名称: Gymnemagenin
别名: Olean-12-ene-3β,16β,21β,22α,23,28-hexol; (3β,4α,16β,21β,22α)-Olean-12-ene-3,16,21,22,23,28-hexol;
CAS号: 22467-07-8
分子式: C₃₀H₅₀O₆
分子量: 506.71
种类: Building Blocks;
应用: Gymnemagenin is a saponin with a triterpenoid structure, purported to display hypoglycemic and antioxidant effects.
参考文献


2011-2018 信阳莱耀生物科技有限公司 @ 信阳埃尔文生物科技有限公司版权所有

中检所标准品,对照品,标准气体
Keywords: 中检所标准品 对照品 标准气体