欢迎光临:莱耀标准品网!
 您的位置:对照品 > 对照品 > 工作对照品 >
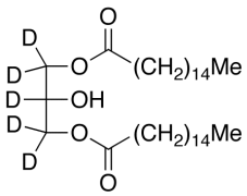
Glycerol-d5 1,3-Dipalmitate
产品基本信息
产品编号:G598412
产品名称:Glycerol-d5 1,3-Dipalmitate
产品CAS:65615-82-9
规格含量:50mg
产品价格:面议
联系我们:
产品详细介绍
标准品编号: G598412
名称: Glycerol-d5 1,3-Dipalmitate
别名: 1,3-Dipalmitin-d5; 1,3-Dipalmitoylglycerin-d5; 1,3-Dipalmitoylglycerol-d5; Glycerol-d5 1,3-Dihexadecanoate; Hexadecanoic-d5 Acid 2-Hydroxy-1,3-propanediyl Ester
CAS号: 65615-82-9
参考CAS号: 502-52-3 unlabelled
分子式: C₃₅H₆₃D₅O₅
外观: 白色至白色固体
熔点: 69-71°C
分子量: 573.94
储存: -20°C Freezer
溶解度: Chloroform (Slightly), Methanol (Very Slightly, Heated)
种类: Standards; Isotopic Labeled Analogues; Enzyme Activators and Inhibitors; Lipids/Fatty Acids, Glycerol Derivatives;
应用: A glycidol fatty acid esters in edible oils. An acyl acceptor for the unspecific bifunctional wax ester synthase/acyl-CoA:Diacylglycerol acyltransferase.
参考文献


2011-2018 信阳莱耀生物科技有限公司 @ 信阳埃尔文生物科技有限公司版权所有

中检所标准品,对照品,标准气体
Keywords: 中检所标准品 对照品 标准气体