欢迎光临:莱耀标准品网!
 您的位置:对照品 > 对照品 > 工作对照品 >
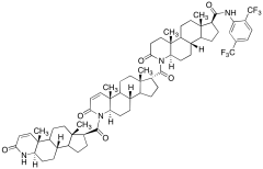
Dihydro Dutasteride β-Trimer
产品基本信息
产品编号:D455634
产品名称:Dihydro Dutasteride β-Trimer
产品CAS:
规格含量:5mg
产品价格:面议
联系我们:
产品详细介绍
标准品编号: D455634
名称: Dihydro Dutasteride β-Trimer
分子式: C₆₅H₈₂F₆N₄O₆
外观: 白色固体
分子量: 1129.36
种类: Building Blocks; Standards; Steroids; Miscellaneous; Pharmaceutical/API Drug Impurities/Metabolites;
应用: Dihydro Dutasteride β-Trimer is an intermediate used in the synthesis of Dutasteride α-Dimer (D735015), which is a dimer impurity of Dutasteride (D735000); a dual inhibitor of 5α-reductase isoenzymes type 1 and 2. Dutasteride is structurally related to Finasteride (F342000) and is used in the treatment of benign prostatic hyperplasia.
参考文献


2011-2018 信阳莱耀生物科技有限公司 @ 信阳埃尔文生物科技有限公司版权所有

中检所标准品,对照品,标准气体
Keywords: 中检所标准品 对照品 标准气体