欢迎光临:莱耀标准品网!
 您的位置:对照品 > 对照品 > 工作对照品 >
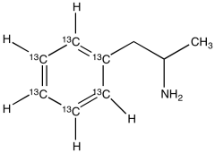
DL-Amphetamine- 13C6
产品基本信息
产品编号:A010302
产品名称:DL-Amphetamine- 13C6
产品CAS:1419916-44-1
规格含量:
产品价格:面议
联系我们:
产品详细介绍
标准品编号: A010302
名称: DL-Amphetamine- 13C6
别名: α-Methylbenzene-1,2,3,4,5,6-13C6-ethanamine
CAS号: 1419916-44-1
参考CAS号: 300-62-9
分子式: C₃¹³C₆H₁₃N
分子量: 141.16
种类: Standards; Controlled Substances and Drugs of Abuse for Forensic Testing; Phenethylamines/Amphetamines;
应用: DL-Amphetamine- 13C6 is labelled with ring 13C labelling DL-Amphetamine (A010300) which is used for drug quantification in biological samples.
参考文献


2011-2018 信阳莱耀生物科技有限公司 @ 信阳埃尔文生物科技有限公司版权所有

中检所标准品,对照品,标准气体
Keywords: 中检所标准品 对照品 标准气体