欢迎光临:莱耀标准品网!
 您的位置:对照品 > 对照品 > 工作对照品 >
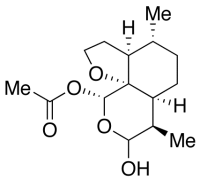
Dihydro Artemisinin Tetrahydrofuran Acetate
产品基本信息
产品编号:D448375
产品名称:Dihydro Artemisinin Tetrahydrofuran Acetate
产品CAS:198817-95-7
规格含量:
产品价格:面议
联系我们:
产品详细介绍
标准品编号: D448375
名称: Dihydro Artemisinin Tetrahydrofuran Acetate
别名: (3aS,4R,6aS,7R,10R,10aR)-octahydro-4,7-dimethyl-2H,10H-furo[3,2-i]-2-benzopyran-8,10-diol 10-Acetate; Dihydroartemisinin Furano Acetate; (3aS,4R,6aS,7R,10R,10aR)-Octahydro-4,7-dimethyl-2H,10H-furo[3,2-i][2]benzopyran-8,10-diol 10-Acetate;
CAS号: 198817-95-7
分子式: C₁₅H₂₄O₅
分子量: 284.35
种类: Standards; Pharmaceutical/API Drug Impurities/Metabolites;
应用: A metabolite of Artemisinin (A777500).
参考文献


2011-2018 信阳莱耀生物科技有限公司 @ 信阳埃尔文生物科技有限公司版权所有

中检所标准品,对照品,标准气体
Keywords: 中检所标准品 对照品 标准气体