欢迎光临:莱耀标准品网!
 您的位置:对照品 > 对照品 > 工作对照品 >
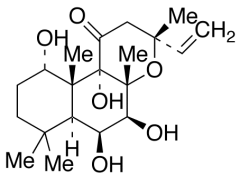
Desacetyl Forskolin
产品基本信息
产品编号:D281860
产品名称:Desacetyl Forskolin
产品CAS:64657-20-1
规格含量:100mg
产品价格:面议
联系我们:
产品详细介绍
标准品编号: D281860
名称: Desacetyl Forskolin
别名: (3R,4aR,5S,6S,6aS,10S,10aR,10bS)-3-Ethenyldodecahydro-5,6,10,10b-tetrahydroxy-3,4a,7,7,10a-pentamethyl-1H-naphtho[2,1-b]pyran-1-one; 7-Deacetylforskolin; 7-Desacetylforskolin; 7-Deacetylcoleonol; Deacetylforskolin; Forskolin D;
CAS号: 64657-20-1
分子式: C₂₀H₃₂O₆
外观: 白色固体
熔点: 171-173°C
分子量: 368.46
储存: 冰箱保存
溶解性: Chloroform (Slightly), Methanol (Slightly)
种类: Standards; Chiral Molecules; Pharmaceutical/API Drug Impurities/Metabolites;
应用: Desacetyl Forskolin is an analogue of Forskolin (F701800). Desacetyl Forskolin was tested for its ability to activate rat brain adenylate cyclase, activate detergent-solubilized rat brain adenylate cyclase, increase cyclic AMP in intact S49 wild-type cells, and inhibit the binding of 3H-forskolin to rat brain membranes.
参考文献


2011-2018 信阳莱耀生物科技有限公司 @ 信阳埃尔文生物科技有限公司版权所有

中检所标准品,对照品,标准气体
Keywords: 中检所标准品 对照品 标准气体