您的位置:对照品 > 对照品 > 工作对照品 > |
|
|
|
| 产品基本信息 |
|
| 产品编号:C987893 |
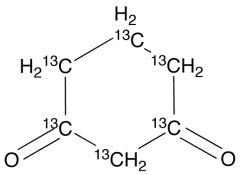
| 产品名称:1,3-Cyclohexanedione-13C6 |
| 产品CAS:1246820-51-8 |
| 规格含量:25mg |
| 产品价格:面议 |
| 联系我们: |
|
|
|
|
|
| 产品详细介绍 |
| 标准品编号: |
C987893 |
| 名称: |
1,3-Cyclohexanedione-13C6 |
| 别名: |
Dihydro-1,3-benzenediol-13C6; 1,3-Dioxocyclohexane-13C6; Dihydroresorcinol-13C6; Hydroresorcinol-13C6; NSC 57477-13C6; |
| CAS号: |
1246820-51-8 |
| 参考CAS: |
未标记: 504-02-9 |
| 分子式: |
¹³C₆H₈O₂ |
| 外观: |
白色固体 |
| 分子量: |
118.08 |
| 溶解度: |
Chloroform, Dichloromethane, Ethyl Acetate, Methanol |
| 类别: |
Building Blocks; Isotopic Labeled Analogues; |
| 应用: |
Labelled Nitisinone intermediate. |
| 参考文献 |
|
|
|
|
|
|