欢迎光临:莱耀标准品网!
 您的位置:对照品 > 对照品 > 国家对照品 >
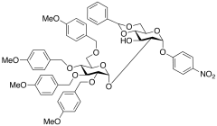
4-Nitrophenyl 2-O-(2’,3’,4’,6’-tetra-O-4-methoxybe
产品基本信息
产品编号:N505880
产品名称:4-Nitrophenyl 2-O-(2’,3’,4’,6’-tetra-O-4-methoxybe
产品CAS:
规格含量:10mg
产品价格:面议
联系我们:
产品详细介绍
标准品编号: N505880
名称: 4-Nitrophenyl 2-O-(2’,3’,4’,6’-tetra-O-4-methoxybenzyl-α-D-glucopyranosyl)-4,6-benzylidene-α-D-glucopyranoside
分子式: C₅₇H₆₁NO₁₇
外观: 淡黄色固体
分子量: 1032.09
溶解度: Chloroform, Dichloromethane, Ethyl Acetate
种类: Standards; Carbohydrates and Oligosaccharides;
应用: 4-Nitrophenyl 2-O-(2’,3’,4’,6’-tetra-O-4-methoxybenzyl-α-D-glucopyranosyl)-4,6-benzylidene-α-D-glucopyranoside is a compound useful in organic synthesis.
参考文献


2011-2018 信阳莱耀生物科技有限公司 @ 信阳埃尔文生物科技有限公司版权所有

中检所标准品,对照品,标准气体
Keywords: 中检所标准品 对照品 标准气体