欢迎光临:莱耀标准品网!
 您的位置:对照品 > 对照品 > 国家对照品 >
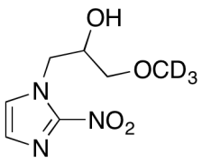
Misonidazole-d3
产品基本信息
产品编号:M368702
产品名称:Misonidazole-d3
产品CAS:121244-83-5
规格含量:50mg
产品价格:面议
联系我们:
产品详细介绍
标准品编号: M368702
名称: Misonidazole-d3
别名: α-(Methoxymethyl)-2-nitro-1H-imidazole-1-ethanol-d3; α-(Methoxymethyl)-2-nitroimidazole-1-ethanol-d3; 1-(2-Hydroxy-3-methoxypropyl)-2-nitroimidazole-d3; 1-(2-Nitro-1-imidazolyl)-3-methoxy-2-propanol-d3; 2-Nitro-1H-imidazole-1-(3-methoxy-2-propanol)-d3; NSC 261037-d3; Racemic Misonidazole-d3; Ro 7-0582-d3; SR 1354-d3; SRI 1354-d3; α-(Methoxy-d3-methyl)-2-nitro-1H-imidazole-1-ethanol
CAS号: 121244-83-5
参考CAS号: Unlabelled: 13551-87-6
分子式: C₇H₈D₃N₃O₄
分子量: 204.2
种类: Standards; Isotopic Labeled Analogues; Pharmaceutical/API Drug Impurities/Metabolites;
应用: Misonidazole-d3 is the isotope labelled analog of Misonidazole (M368700); a potential hypoxic cancer cell radiosensitizer and DNA binding and nicking agent.
参考文献


2011-2018 信阳莱耀生物科技有限公司 @ 信阳埃尔文生物科技有限公司版权所有

中检所标准品,对照品,标准气体
Keywords: 中检所标准品 对照品 标准气体