欢迎光临:莱耀标准品网!
 您的位置:对照品 > 对照品 > 国家对照品 >
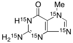
7-Methylguanine-15N5
产品基本信息
产品编号:M311792
产品名称:7-Methylguanine-15N5
产品CAS:1352033-99-8
规格含量:5mg
产品价格:面议
联系我们:
产品详细介绍
标准品编号: M311792
名称: 7-Methylguanine-15N5
别名: 2-(Amino-15N)-1,7-dihydro-7-methyl-6H-purin-6-one-1,3,7,9-15N4; 2-Amino-7-methylhypoxanthine-15N5; N7-Methylguanine-15N5; NSC 193444-15N5; NSC 19647-15N5
CAS号: 1352033-99-8
参考CAS号: Unlabelled: 578-76-7
分子式: C₆H₇¹⁵N₅O
分子量: 170.12
种类: Standards; Isotopic Labeled Analogues; Pharmaceutical/API Drug Impurities/Metabolites;
应用: 7-Methylguanine-15N5 is the isotope labelled analog of 7-Methylguanine (M311790); a compound that has binding affinity to guanine deaminase, an important metalloenzyme in purine catabolism. Found in urine of patients with malignant cancer.
参考文献


2011-2018 信阳莱耀生物科技有限公司 @ 信阳埃尔文生物科技有限公司版权所有

中检所标准品,对照品,标准气体
Keywords: 中检所标准品 对照品 标准气体