您的位置:对照品 > 对照品 > 国家对照品 > |
|
|
|
| 产品基本信息 |
|
| 产品编号:M298237 |
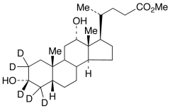
| 产品名称:Methyl Desoxycholate-d5 |
| 产品CAS:52840-15-0 |
| 规格含量:50mg |
| 产品价格:面议 |
| 联系我们: |
|
|
|
|
|
| 产品详细介绍 |
| 标准品编号: |
M298237 |
| 名称: |
Methyl Desoxycholate-d5 |
| 别名: |
(3α,5β,12α)-3,12-Dihydroxy-cholan-2,2,3,4,4-d5-24-oic Acid Methyl Ester; Deoxycholic-d5 Acid Methyl Ester; Methyl 7-Deoxycholate-d5; |
| CAS号: |
52840-15-0 |
| 参考CAS号: |
3245-38-3 - unlabelled |
| 分子式: |
C₂₅H₃₇D₅O₄ |
| 外观: |
白色固体 |
| 熔点: |
63-66°C |
| 分子量: |
411.63 |
| 储存: |
-20°C Freezer |
| 溶解度: |
Chloroform, Methanol |
| 种类: |
Standards; Steroids; Isotopic Labeled Analogues; |
| 应用: |
Cholic Acid (C432600) derivative. |
| 参考文献 |
|
|
|
|
|
|