欢迎光临:莱耀标准品网!
 您的位置:对照品 > 对照品 > 国家对照品 >
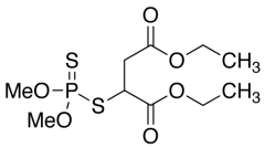
Malathion
产品基本信息
产品编号:M111000
产品名称:Malathion
产品CAS:121-75-5
规格含量:500mg
产品价格:面议
联系我们:
产品详细介绍
标准品编号: M111000
名称: Malathion
别名: [(Dimethoxyphosphinothioyl)thio]butanedioic Acid Diethyl Ester;
CAS号: 121-75-5
分子式: C₁₀H₁₉O₆PS₂
外观: Colourless to Light Yellow Oil
熔点: N/A
分子量: 330.36
储存: -20°C Freezer, Under Inert Atmosphere
溶解度: Chloroform (Slightly), Ethyl Acetate (Slightly)
种类: Standards; Environmental Standards, Mutagens and Metabolites; Pesticides;
应用: Malathion is a pestanal and used primarily as an insecticide. Malathion is also useful in cannabis testing kits as a component of pesticide mixes (P698230).
危险品: Not a dangerous good if item is equal to or less than 1g/ml and there is less than 100g/ml in the package
参考文献


2011-2018 信阳莱耀生物科技有限公司 @ 信阳埃尔文生物科技有限公司版权所有

中检所标准品,对照品,标准气体
Keywords: 中检所标准品 对照品 标准气体