您的位置:对照品 > 对照品 > 国家对照品 > |
|
|
|
| 产品基本信息 |
|
| 产品编号:L685530 |
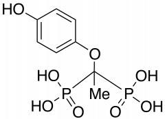
| 产品名称:L-690,330 |
| 产品CAS:142523-38-4 |
| 规格含量:2.5mg |
| 产品价格:面议 |
| 联系我们: |
|
|
|
|
|
| 产品详细介绍 |
| 标准品编号: |
L685530 |
| 名称: |
L-690,330 |
| 别名: |
[1-(4-Hydroxyphenoxy)ethylidene]bisphosphonic Acid; [1-(4-Hydroxyphenoxy)ethylidene]bisphosphonic Acid (9CI); P,P'-[1-(4-Hydroxyphenoxy)ethylidene]bis[phosphonic acid]; L 690330 |
| CAS号: |
142523-38-4 |
| 分子式: |
C₈H₁₂O₈P₂ |
| 分子量: |
298.12 |
| 种类: |
Standards; Enzyme Activators and Inhibitors; |
| 应用: |
L-690,330 is an inositol monophosphatase inhibitor in vitro and in vivo. |
| 参考文献 |
|
|
|
|
|
|