您的位置:对照品 > 对照品 > 国家对照品 > |
|
|
|
| 产品基本信息 |
|
| 产品编号:L165502 |
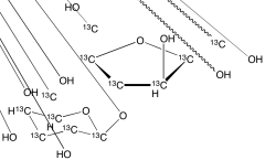
| 产品名称:Lactulose-13C12 |
| 产品CAS: |
| 规格含量:10mg |
| 产品价格:面议 |
| 联系我们: |
|
|
|
|
|
| 产品详细介绍 |
| 标准品编号: |
L165502 |
| 名称: |
Lactulose-13C12 |
| 别名: |
4-O-β-D-Galactopyranosyl-D-fructofuranose-13C12; Cephulac-13C12; Cholac-13C12; Chronulac-13C12; Constilac-13C12; Constulose-13C12; Duphalac-13C12; Enulose-13C12; |
| 参考CAS号: |
Unlabelled: 4618-18-2 |
| 分子式: |
¹³C₁₂H₂₂O₁₁ |
| 外观: |
白色至淡黄色固体 |
| 熔点: |
N/A |
| 分子量: |
354.2 |
| 储存: |
-20˚C Freezer |
| 溶解度: |
Water (Slightly) |
| 种类: |
Standards; Isotopic Labeled Analogues; Carbohydrates and Oligosaccharides; |
| 应用: |
Lactulose is a synthetic, non-digestible sugar used in the treatment of chronic constipation; laxative. |
| 参考文献 |
|
|
|
|
|
|
|
|