欢迎光临:莱耀标准品网!
 您的位置:对照品 > 对照品 > 国家对照品 >
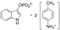
3-Indoxyl Phosphate, Di-p-Toluidinium Salt
产品基本信息
产品编号:I655050
产品名称:3-Indoxyl Phosphate, Di-p-Toluidinium Salt
产品CAS:103404-81-5
规格含量:5g
产品价格:面议
联系我们:
产品详细介绍
标准品编号: I655050
名称: 3-Indoxyl Phosphate, Di-p-Toluidinium Salt
CAS号: 103404-81-5
参考CAS号: freebase: 13822-19-0
分子式: C₈H₆NO₄P•2(C₇H₁₀N)
外观: 白色固体
熔点: 143-145°C
分子量: 427.43
溶解度: DMSO, Methanol
种类: Building Blocks; Miscellaneous;
应用: A useful histochemical substrate for alkaline phosphatase.
参考文献


2011-2018 信阳莱耀生物科技有限公司 @ 信阳埃尔文生物科技有限公司版权所有

中检所标准品,对照品,标准气体
Keywords: 中检所标准品 对照品 标准气体