欢迎光临:莱耀标准品网!
 您的位置:对照品 > 对照品 > 国家对照品 >
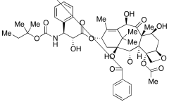
Ethyl Docetaxel
产品基本信息
产品编号:E916960
产品名称:Ethyl Docetaxel
产品CAS:154044-47-0
规格含量:50mg
产品价格:面议
联系我们:
产品详细介绍
标准品编号: E916960
名称: Ethyl Docetaxel
别名: (2aR,4S,4aS,6R,9S,11S,12S,12aR,12bS)-12b-Acetoxy-4,6,11-trihydroxy-9-(((2R,3S)-2-hydroxy-3-(((tert-pentyloxy)carbonyl)amino)-3-phenylpropanoyl)oxy)-4a,8,13,13-tetramethyl-5-oxo-2a,3,4,4a,5,6,9,10,11,12,12a,12b-dodecahydro-1H-7,11-methanocyclodeca[3,4]benzo[1,2-b]oxet-12-yl Benzoate; N-Debenzoyl-N-(tert-pentoxycarbonyl)-10-deacetyltaxol
CAS号: 154044-47-0
分子式: C₄₄H₅₅NO₁₄
分子量: 821.91
种类: Research Tools;
应用: Ethyl Docetaxel is a derivative of Paclitaxel (P132500), an antimitotic agent that promotes the assembly of micro-tubules and inhibits their de-polymerization to free tubulin.
参考文献


2011-2018 信阳莱耀生物科技有限公司 @ 信阳埃尔文生物科技有限公司版权所有

中检所标准品,对照品,标准气体
Keywords: 中检所标准品 对照品 标准气体