您的位置:对照品 > 对照品 > 国家对照品 > |
|
|
|
| 产品基本信息 |
|
| 产品编号:D434220 |
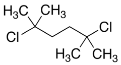
| 产品名称:2,5-Dichloro-2,5-dimethylhexane |
| 产品CAS:6223-78-5 |
| 规格含量:250mg |
| 产品价格:面议 |
| 联系我们: |
|
|
|
|
|
| 产品详细介绍 |
| 标准品编号: |
D434220 |
| 名称: |
2,5-Dichloro-2,5-dimethylhexane |
| 别名: |
2,5-Dimethyl-2,5-dichlorohexane; NSC 408418 |
| CAS号: |
6223-78-5 |
| 分子式: |
C₈H₁₆Cl₂ |
| 外观: |
白色至Pale Beige Solid |
| 熔点: |
62 - 66°C |
| 分子量: |
183.12 |
| 储存: |
冰箱保存 |
| 溶解性: |
Chloroform (Sparingly), Dichloromethane, Diethyl Ether; Ethyl Acetate, Methanol |
| 种类: |
Building Blocks; Miscellaneous; |
| 应用: |
2,5-Dichloro-2,5-dimethylhexane (cas# 6223-78-5) is a compound useful in organic synthesis. |
| 参考文献 |
|
|
|
|
|
|