您的位置:对照品 > 对照品 > 国家对照品 > |
|
|
|
| 产品基本信息 |
|
| 产品编号:D288662 |
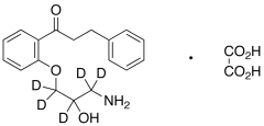
| 产品名称:N-Depropyl Propafenone-d5 Oxalate Salt |
| 产品CAS:1215598-59-6 |
| 规格含量:25mg |
| 产品价格:面议 |
| 联系我们: |
|
|
|
|
|
| 产品详细介绍 |
| 标准品编号: |
D288662 |
| 名称: |
N-Depropyl Propafenone-d5 Oxalate Salt |
| 别名: |
N-Desalkylpropafenone-d5 Oxalate Salt; N-Despropylpropafenone-d5 Oxalate Salt; |
| CAS号: |
1215598-59-6 |
| 参考CAS号: |
类似: 86383-21-3 |
| 分子式: |
C₂₀H₁₈D₅NO₇ |
| 外观: |
白色固体 |
| 熔点: |
148-151°C |
| 分子量: |
394.43 |
| 储存: |
-20ËšC Freezer |
| 溶解性: |
Methanol, Water (hot) |
| 种类: |
Standards; Isotopic Labeled Analogues; |
| Boiling Point: |
N/A |
| 应用: |
A labelled metabolite of Propafenone (P757500). |
| 参考文献 |
|
|
|
|
|
|