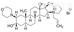
罗库溴铵杂质V对照品
别名:溴化1-烯丙基-1-[3β,17β-(二羟基)-2β-(吗啉-1-基)-5α-雄甾-16β- 基]吡咯烷鎓
英文:Rocuronium Bromide Impurity V(1-[3α,17β-dihydroxy-2β-(morpholin-4-yl)-5α-androstan-16β-yl]-1-(prop-2-enyl)pyrrolidinium Bromide)
类别:化学对照品
批号:101366-201501
结构式:

分子式:C30H51BrN2O3
分子量:567.64
用途:使用前不需干燥处理,供 HPLC 法系统适用性试验用。

罗库溴铵及罗库溴铵杂质 I-V 混合溶液色谱图
Thermo Scientific Syncronis Silica C18 硅胶柱, 4.6×250mm,5μm
包装:棕色西林瓶
规格:约 20 毫克/支
贮藏:遮光,2-8℃保存
请按照说明书规定使用,若作他用,用户须自行证明适用性。
点击查看→→产品价格
|