欢迎光临:莱耀标准品网!
 您的位置:对照品 > 标准品 > 美国药典 >
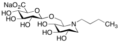
Miglustat O-β-D-Glucuronide Sodium Salt
产品基本信息
产品编号:M344235
产品名称:Miglustat O-β-D-Glucuronide Sodium Salt
产品CAS:
规格含量:5mg
产品价格:面议
联系我们:
产品详细介绍
标准品编号: M344235
名称: Miglustat O-β-D-Glucuronide Sodium Salt
分子式: C₁₆H₂₈NNaO₁₀
外观: 白色至白色固体
熔点: >170°C (dec.)
分子量: 417.38
储存: Hygroscopic, -20°C Freezer, Under inert atmosphere
溶解度: Methanol (Slightly), Water (Slightly)
稳定性: Hygroscopic
种类: Standards; Enzyme Activators and Inhibitors; Glycosidase Inhibitors; Pharmaceutical/API Drug Impurities/Metabolites;
应用: Miglustat O-β-D-Glucuronide Sodium Salt is a glucuronide derivative of N-Butyldeoxynojirimycin (B691000).
参考文献


2011-2018 信阳莱耀生物科技有限公司 @ 信阳埃尔文生物科技有限公司版权所有

中检所标准品,对照品,标准气体
Keywords: 中检所标准品 对照品 标准气体