欢迎光临:莱耀标准品网!
 您的位置:对照品 > 标准品 > 美国药典 >
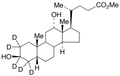
Methyl 3β-Desoxycholate-d5
产品基本信息
产品编号:M298242
产品名称:Methyl 3β-Desoxycholate-d5
产品CAS:
规格含量:50mg
产品价格:面议
联系我们:
产品详细介绍
标准品编号: M298242
名称: Methyl 3β-Desoxycholate-d5
别名: Methyl 3β,12α-dihydroxy-5β-cholanoate; (3β,5β,12α)-3,12-Dihydroxy-cholan-24-oic Acid Methyl Ester
参考CAS号: 28050-36-4 - unlabelled
分子式: C₂₅H₃₇D₅O₄
分子量: 411.63
储存: -20°C Freezer
溶解度: Methanol
种类: Standards; Steroids; Isotopic Labeled Analogues;
应用: 3β-Cholic Acid (C432605) derivative.
参考文献


2011-2018 信阳莱耀生物科技有限公司 @ 信阳埃尔文生物科技有限公司版权所有

中检所标准品,对照品,标准气体
Keywords: 中检所标准品 对照品 标准气体