欢迎光临:莱耀标准品网!
 您的位置:对照品 > 标准品 > 美国药典 >
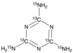
Melamine-13C3,15N3
产品基本信息
产品编号:M208704
产品名称:Melamine-13C3,15N3
产品CAS:1246816-14-7
规格含量:10mg
产品价格:面议
联系我们:
产品详细介绍
标准品编号: M208704
名称: Melamine-13C3,15N3
别名: 1,3,5-Triazine-2,4,6-triamine-13C3,15N3; 2,4,6-Triamino-s-triazine-13C3,15N3; Cyanurotriamide-13C3,15N3; NSC 2130-13C3,15N3;
CAS号: 1246816-14-7
参考CAS号: 类似: 108-78-1
分子式: ¹³C₃H₆N₃¹⁵N₃
外观: 白色至Pale Beige Solid
熔点: >300°C (dec.)
分子量: 132.08
储存: 冰箱
溶解度: DMSO (Slightly, Heated)
种类: Building Blocks; Isotopic Labeled Analogues;
应用: Isotope labelled Melamine (M208703), which forms synthetic resins with formaldehyde. It remains largely non-metabolized in male Wistar rats with 90% of the administered dose excreted in the urine (1,2) and thus acts as a non-protein nitrogen food additive found in milk (3). Drinking water contaminant candidate list 3 (CCL 3) compound as per United States Environmental Protection Agency (EPA), environmental, and food contaminants.
参考文献


2011-2018 信阳莱耀生物科技有限公司 @ 信阳埃尔文生物科技有限公司版权所有

中检所标准品,对照品,标准气体
Keywords: 中检所标准品 对照品 标准气体