欢迎光临:莱耀标准品网!
 您的位置:对照品 > 标准品 > 美国药典 >
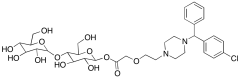
Levocetrizine Lactose Ester Impurity
产品基本信息
产品编号:L331210
产品名称:Levocetrizine Lactose Ester Impurity
产品CAS:
规格含量:10mg
产品价格:面议
联系我们:
产品详细介绍
标准品编号: L331210
名称: Levocetrizine Lactose Ester Impurity
分子式: C₃₅H₄₅ClN₂O₁₃
种类: Standards; Pharmaceutical/API Drug Impurities/Metabolites;
应用: Levocetrizine Lactose Ester Impurity is a levocetrizine impurity. Levocetrizine is used as internal standard in reverse phase HPLC methods for determination of fexofenidine in pharmaceutical dosage.
参考文献


2011-2018 信阳莱耀生物科技有限公司 @ 信阳埃尔文生物科技有限公司版权所有

中检所标准品,对照品,标准气体
Keywords: 中检所标准品 对照品 标准气体