欢迎光临:莱耀标准品网!
 您的位置:对照品 > 标准品 > 美国药典 >
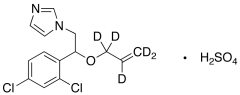
Imazalil-d5 Sulfate
产品基本信息
产品编号:I268502
产品名称:Imazalil-d5 Sulfate
产品CAS:1398065-92-3
规格含量:25mg
产品价格:面议
联系我们:
产品详细介绍
标准品编号: I268502
名称: Imazalil-d5 Sulfate
别名: 1-[2-(2,4-Dichlorophenyl)-2-[2-(propen-1-yl-d5)oxy]ethyl]-1H-imidazole Sulfate; 1-[2-(2,4-Dichlorophenyl)-2-[2-(propenyl-d5)oxy]ethyl]-1H-imidazole Sulfate; Chloramizol-d5 Sulfate; Microban Additive IF 4-d5; R 27180-d5;
CAS号: 1398065-92-3
参考CAS号: 类似: 58594-72-2
分子式: C₁₄H₁₁D₅Cl₂N₂O₅S
外观: 白色固体
熔点: 129-131ºC
分子量: 400.29
储存: Amber Vial, -20°C Freezer, Under inert atmosphere
溶解度: Chloroform (Slightly), Methanol (Slightly)
种类: Standards; Isotopic Labeled Analogues; Pharmaceutical/API Drug Impurities/Metabolites;
应用: Labelled Imazalil Sulfate, an imidazole derivative used as a fungicide. Imazalil Sulfate controlled epidermis anthracnosis caused by Colletotrichum musae and crown rot in harvested bananas. Imazalil Sulfate is used for fungal protection of citrus fruits such as oranges and lemons as well as other fruits. Imazalil Sulfate is an effective fungicide allowing induction of barley callusin culture media.
危险品: Not a dangerous good if item is equal to or less than 1g/ml and there is less than 100g/ml in the package
参考文献


2011-2018 信阳莱耀生物科技有限公司 @ 信阳埃尔文生物科技有限公司版权所有

中检所标准品,对照品,标准气体
Keywords: 中检所标准品 对照品 标准气体