您的位置:对照品 > 标准品 > 美国药典 > |
|
|
|
| 产品基本信息 |
|
| 产品编号:D292077 |
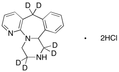
| 产品名称:Desmethyl Mirtazapine-d6 Dihydrochloride |
| 产品CAS: |
| 规格含量:10mg |
| 产品价格:面议 |
| 联系我们: |
|
|
|
|
|
| 产品详细介绍 |
| 标准品编号: |
D292077 |
| 名称: |
Desmethyl Mirtazapine-d6 Dihydrochloride |
| 别名: |
1,2,3,4,10,14b-Hexahydro-pyrazino[2,1-a]pyrido[2,3-c][2]benzazepine-d6 Dihydrochloride; N-Demethylmirtazapine-d6 Dihydrochloride; N-Desmethylmirtazapine-d6 Dihydrochloride; Normirtazepin-d6 Dihydrochloride; Impurity D-d6; |
| 参考CAS号: |
未标记:61337-68-6 |
| 分子式: |
C₁₆H₁₃D₆Cl₂N₃ |
| 外观: |
白色至白色固体 |
| 熔点: |
>241°C (dec.) |
| 分子量: |
330.29 |
| 储存: |
冰箱保存 |
| 溶解性: |
Methanol (Slightly), Water (Slightly) |
| 种类: |
Standards; Pharmaceutical/API Drug Impurities/Metabolites; |
| 应用: |
A labelled metabolite of Mirtazapine, α2-adrenergic blocker. |
| 参考文献 |
|
|
|
|
|
|
|
|