您的位置:对照品 > 标准品 > 美国药典 > |
|
|
|
| 产品基本信息 |
|
| 产品编号:C982100 |
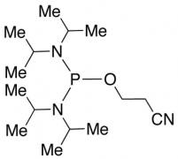
| 产品名称:2-Cyanoethyl N,N,N’,N’-Tetraisopropylphosphoramidite |
| 产品CAS:102691-36-1 |
| 规格含量:2g |
| 产品价格:面议 |
| 联系我们: |
|
|
|
|
|
| 产品详细介绍 |
| 标准品编号: |
C982100 |
| 名称: |
2-Cyanoethyl N,N,N’,N’-Tetraisopropylphosphoramidite |
| 别名: |
N,N,N’,N’-Tetrakis(1-methylethyl)phosphorodiamidous Acid 2-Cyanoethyl Ester; 2-Cyanoethoxybis(N,N-diisopropylamino)phosphine; 2-Cyanoethyl Tetraisopropylphosphorodiamidite; Bis(diisopropylamino)(2-cyanoethoxy)phosphine; |
| CAS号: |
102691-36-1 |
| 分子式: |
C₁₅H₃₂N₃OP |
| 外观: |
Colourless to Pale Yellow Oil |
| 熔点: |
N/A |
| 分子量: |
301.41 |
| 储存: |
冰箱保存, Under Inert Atmosphere |
| 溶解度: |
Acetonitrile (Slightly), Benzene, Chloroform (Slightly), Methanol (Slightly) |
| 稳定性: |
Explodes When Heated |
| 类别: |
Building Blocks; Miscellaneous; |
| 应用: |
2-Cyanoethyl N,N,N’,N’-Tetraisopropylphosphoramidite (cas# 102691-36-1) is a compound useful in organic synthesis. |
| 危险品信息: |
Not a dangerous good if item is equal to or less than 1g/ml and there is less than 100g/ml in the package |
| 参考文献 |
|
|
|
|
|
|
|
|