欢迎光临:莱耀标准品网!
 您的位置:对照品 > 标准品 > 美国药典 >
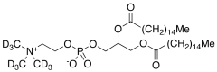
Colfosceril-d9 Palmitate
产品基本信息
产品编号:C640502
产品名称:Colfosceril-d9 Palmitate
产品CAS:
规格含量:
产品价格:面议
联系我们:
产品详细介绍
标准品编号: C640502
名称: Colfosceril-d9 Palmitate
别名: 1,2-Dipalmitoyl-sn-glycero-3-phosphocholine-d9; (7R)-4-Hydroxy-N,N,N-(trimethyl-d9)-10-oxo-7-[(1-oxohexadecyl)oxy]-3,5,9-trioxa-4-phosphapentacosan-1-aminium Inner Salt 4-Oxide; 1,2-Bis(hexadecanoyl)-sn-glycero-3-phosphocholine-d9; 1,2-Bis(palmitoyl)-sn-glycero-3-phosphocholine-d9; L-1,2-Dipalmitoylphosphatidyl -choline-d9; L-DPPC-d9; L-Dipalmitoyl Lecithin-d9; L-α-1,2-Dipalmitoyl Lecithin-d9; L-α-DPPC-d9; L-α-Dipalmitoylecithin-d9; L-α-Dipalmitoyllecithin-d9; L-α-Dipalmitoylphosphatidylcholine-d9; L-α-Lecithin-d9; L-β,γ-Dipalmitoyl-α-lecithin-d9; L-β,γ-Dipalmitoyl-α-phosphatidylcholine-d9; L-β,γ-Dipalmitoylphosphatidylcholine-d9;
参考CAS: 63-89-8-未标记
分子式: C₄₀H₇₁D₉NO₈P
分子量: 743.09
类别: Standards; Isotopic Labeled Analogues; Pharmaceutical/API Drug Impurities/Metabolites; Lipids/Fatty Acids, Glycerol Derivatives; Environmental Standards, Mutagens and Metabolites;
应用: Labelled Colfosceril Palmitate (C640500). Colfosceril Palmitate is a major phospholipid constituent and primary surface tension lowering component of natural lung surfactant. Colfosceril Palmitate is used as pulmonary surfactant and diagnostic aid (fetal lung maturity).
参考文献


2011-2018 信阳莱耀生物科技有限公司 @ 信阳埃尔文生物科技有限公司版权所有

中检所标准品,对照品,标准气体
Keywords: 中检所标准品 对照品 标准气体