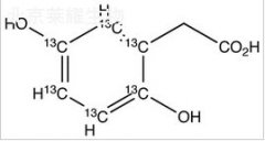
尿黑酸-13C6标准品
货号:H593402
英文名称:Homogentisic Acid-13C6
别名:2,5-Dihydroxybenzeneacetic Acid-13C6; 2,5-Dihydroxy-α-toluic Acid-13C6; 2,5-Dihydroxyphenylacetic Acid-13C6; Alcapton-13C6; Homogentisinic Acid-13C6; NSC 88940-13C6;
规格:1mg,10mg
结构式:

CAS号:1216468-48-2
分子式:C213C6H8O4
分子量:174.1
产品类别:莱耀生物标准品,北京莱耀生物提供
注:产品名称以英文名称为准
|