欢迎光临:莱耀标准品网!
 您的位置:对照品 > 标准品 > TRC >
(2R,4S)-特力利汀-d8标准品
产品基本信息
产品编号:T018317
产品名称:(2R,4S)-特力利汀-d8标准品
产品CAS:
规格含量:1mg,10mg
产品价格:2700元,21000元
联系我们:
产品详细介绍

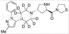
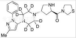
  (2R,4S)-特力利汀-d8标准品

  货号:T018317
  英文名称: (2R,4S)-Teneligliptin-d8
  别名:  [(2R,4S)-4-[4-(3-Methyl-1-phenyl-1H-pyrazol-5-yl)-1-piperazinyl]-2-pyrrolidinyl]-3-thiazolidinylmethanone-d8
  规格:1mg,10mg
  结构式:
(2R,4S)-特力利汀-d8标准品
  分子式:C22H22D8N6OS
  分子量:434.63
  产品类别:莱耀生物标准品,北京莱耀生物提供
  注:产品名称以英文名称为准


2011-2018 信阳莱耀生物科技有限公司 @ 信阳埃尔文生物科技有限公司版权所有

中检所标准品,对照品,标准气体
Keywords: 中检所标准品 对照品 标准气体